摘 要 介紹了一種新穎的單片機控制電阻電容在線測試系統,并詳細論述了系統組成,電阻、電容在線測試原理以及系統軟件的設計思想。
關鍵詞 電阻電容 在線測試 單片機 電隔離
1 引 言
在線測試是一種新穎的電子測量技術。在調試維修印刷電路板時,往往需要測量印刷電路板上的電阻或電容值。傳統的做法是焊開元件再測量,以避免受板上其他元件的影響。這不僅麻煩,測試速度低,甚至可能損傷印刷板和元件。為此,我們采用“電隔離”技術,設計了一種用單片機控制的電阻電容在線測試系統,該系統無需焊開元件便可直接在印刷板上測量各元件的參數,即保持了印刷板和元件的完善無損,又大大提高了測試速度。
2 系統組成
單片機電阻電容在線測試系統原理如圖1所示。
為了實現電阻電容在線測試過程的自動化,由8031單片機、2732EPROM、鎖存器和8155擴展器構成控制部分;為了拓寬測試范圍,系統設置了自動轉換量程;為了進一步提高測試精度,采用了軟件抗干擾措施。
3 電阻在線測試原理
電阻—電壓轉換電路原理如圖2所示。
圖中Rx是印刷板上的待測電阻,R1和R2是Rx兩端旁路的等效電阻,Uref為基準電壓,Rx為基準電阻。測試時用三根測試筆,其中一根將R1和R2的接點接地;第二根將Rx與R1的接點接至運算放大器的反相輸入端;第三根將Rx與R2的接點接至運算放大器的輸出端。由圖2不難看到:根據理想運算放大器的“虛短”原理,R1上的電壓為零,因而沒有電流通過;又根據深度電壓負反饋時其輸出電阻為零的特征,作為負載電阻R2的數值大小,不會影響其輸出電壓Ur。
由圖2得Ur=-Uref Rx/Rx
可見在基準電壓Uref和基準電阻Rx確定后,Ur只取決于Rx,而與R1與R2旁路電阻均無關,即對R2實現了“電隔離”。這就將印刷電路板上的被測電阻Rx直接轉換為相應的輸出電壓Ur。為了擴大測量范圍,引進了基準電阻Rr1~Rr4和相應的開關S1~S4來轉換量程,如圖3所示。單片機根據Rx選擇合適的Rr,通過控制S1~S4自動轉化量程。若選用高精度的運算放大器(如OP07等),可以進一步提高測量精度。為了減少R2的影響,輸出級采用T1和T2復合管組成的射級輸出器,可進一步減小輸出電阻,并為R2提供所需的電流。為了減小接觸電阻的影響,三根測試筆均用雙線結構,將通電流的導線(圖3中用粗T1線表示)和測電壓的導線(圖3中細線)分開。理論和實踐都指出:在測量小電阻時,這種測試能有效地提高測試精度。
4 電容在線測試原理
電容在線測試原理電路如圖4所示。
圖中Cx為印刷板上被測電容,Rx為板上與Cx并聯的電阻,Z1和Z2為板上Cx兩端旁路的總等效阻抗,Uref為基準的正弦波信號源,Rr為基準電阻。如同上述電阻在線測試所分析的那樣,根據理想運算放大器的“虛短”原理及深度電壓負反饋輸出電阻為零的特征,可消除Z1和Z2的影響,實現對Cx和Rx并聯阻抗Zx的“電隔離”。由圖4不難看出:
Uc=-Uref Zx/Rx
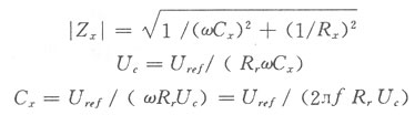
在印刷電路板上,電容Cx通常與Rx之間并聯,如何從并聯電路中單獨測得Cx值,這是電容在線測試的關鍵。為此,我們提高正弦波發生器Uref的頻率F,使Cx的容抗1/(ωCx)<<Rx,則可忽略Rx,使并聯阻抗Zx近似等于Cx的容抗。即
式中Rr,Uref和頻率F均為已知,測得Uc,便可用上式求出Cx。我們稱此法為“高頻近似法”。分析可知,若Rx大于被測電容Cx的容抗Zc的5倍,即若Rx≥5Cx,那么,按式Cx=Uref/(2лFRr
Uc)求出Cx的誤差不大于2%。考慮到測量中因其它因素引起的誤差,整個誤差總和也不大于5%。對于一般要求這種誤差已經滿足了。在實際電路中,電容量的范圍很廣,與電容器并聯的電阻值差別也很大。為實現高頻近似法測試Cx,應根據實際情況選擇合適的信號頻率。為了便于測量控制,又不使正弦波信號發生器過于復雜,采取的措施是將信號源的頻率按5倍頻分檔,并使各檔信號Uref的幅度相等。由低向高按5倍關系逐檔增高信號頻率,同時測量響應的輸出電壓Uc,并計算相鄰兩檔低頻輸出電壓Ucl和高頻輸出電壓Uch的比值。分析證明,若該比值Ucl/Uch≥3.6時,則可以用這個高檔頻率的信號測量Cx,此時的輸出電壓Uc=Uch。將此時的f,Uref和Uc代入Cx=Uref/(2лfRrUc),便可求得Cx。而Ucl/Uch≥3.6則可作為“高頻近似法”選擇測試頻率的依據。
5 系統軟件
該在線測試系統的軟件,采用模塊化結構,由主程序、若干子程序和中斷程序組成,并且采用了數字濾波等軟件抗干擾技術,提高了測試精度。系統主程序的流程圖如圖5所示。系統啟動后,先初始化,然后判斷測試Cx還是Rx,則分別進入各次的測試程序,開始在線測試。電阻在線測試過程為:被測電阻Rx通過Rx/Ur轉換電路,將Rz轉換為直流輸出電壓Ur,送入A/D轉換器將模擬電壓轉換為數字量,輸入單片機系統。單片機國家輸入得數據,選擇最佳量程,并控制量程轉換開關,選擇合適的基準電阻Rr,實現量程自動轉化。在單片機控制下,進行多次(如8次)采樣測試,并對各次測得的Ur求取平均值,然后計算出電阻Rx,最后送顯示器顯示。
電容在線測試過程為:將Cx/Uc轉換電路,在正弦波信號發生器的作用下將Cx的數值轉換為交流輸出電壓Uc,送入A/D轉換器轉換為數字量,送至單片機。單片機開展量程轉換開關,選擇最佳量程,獲得與Cx相應的Uc值。單片機通過頻率轉換開關,控制正弦波信號發生器的振蕩頻率,從最抵擋頻率開始,按5倍頻逐級增頻率。同時讀入各檔的相應Uc值,并對相鄰兩檔頻率的數據Ucl和Uch求商Ucl/Uch,判斷Ucl/Uch是否大于3.6,若不大于此值,則繼續讀入求商,直到Ucl/Uch≥3.6,單片機就根據最后這次Fh和Uch,按式Cx=Uref/(2лfhUch)求Cx值,并送顯示器顯示被測的電容量數值。
參考文獻
1 朱錫仁.電路測試技術與儀器.北京:清華大學出版社,1989
2 張衛平,張英儒.現代電子電路原理與設計.北京:原子能出版社,1997
3 何立民.MCS—51系列單片機應用系統設計.北京航空航天大學出版社,1990
4 王福瑞.單片機微機測控系統設計大全.北京航空航天大學出版社,1998
5 李華.MCS—51系列單片機實用接口技術.北京航空航天大學出版社,1993
6 涂時亮,張友德,陳章龍.單片微機軟件設計技術.重慶:科學技術文獻出版社重慶分社,1988






